AG百家乐大转轮-AG百家乐导航_怎么看百家乐走势_全讯网官网 (中国)·官方网站

首頁 / 教學科研 / 正文

張力教授團隊為肺癌患者帶來免疫治療新方案

稿件來源:腫瘤防治中心 編輯:盧旖維 審核:孫耀斌 閱讀量:

中大新聞網訊(通訊員鄭敏珊)2024年5月31日,中山大學腫瘤防治中心張力教授牽頭開展的III期HARMONi-A(AK112-301)研究期中分析結果,被2024年美國臨床腫瘤學會(ASCO)收錄為口頭報告,由張力教授在ASCO會上作口頭報告。研究結果同步在國際頂尖權威期刊《美國醫學會雜志》(JAMA)在線發表。本文的通訊作者是中山大學腫瘤防治中心張力教授,共同第一作者包括中山大學腫瘤防治中心方文峰教授、趙媛媛主任醫師、黃巖主任醫師等。

HARMONi-A研究是首個比較了依沃西單抗聯合化療與單獨化療在EGFR-TKI耐藥的EGFR突變晚期或轉移性nsq-NSCLC療效的雙盲、安慰劑對照、隨機的III期研究。“依沃西單抗聯合化療”突破EGFR-TKI治療后耐藥的臨床困境,為EGFR-TKI耐藥的非小細胞肺癌患者帶來全新的標準治療方案。HARMONi-A研究也彰顯了“中國學者+本土新藥”組合的強勁實力,是國際學術界對國產首創雙抗新藥方案的認可。

EGFR-TKI是EGFR突變非小細胞肺癌的標準一線治療,但獲得性耐藥不可避免。目前臨床上EGFR-TKI尤其是第三代TKI治療進展患者,最佳的治療選擇仍然有限。

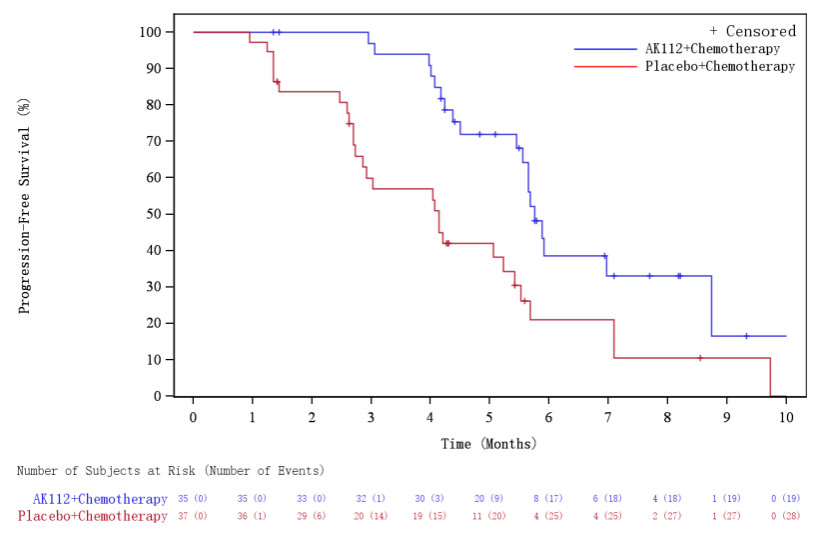
2021年11月,張力教授牽頭的III期HARMONi-A研究在中國啟動,全國55個研究中心共納入322例EGFR-TKI治療失敗的非小細胞肺癌,隨機(1:1)接受依沃西單抗(n=161)或安慰劑(n=161)聯合培美曲塞+卡鉑Q3W 4個周期治療,隨后接受依沃西單抗+培美曲塞或安慰劑+培美曲塞的維持治療。主要終點是根據RECISTv1.1標準由獨立放射學評審委員會(IRRC)評估的意向治療(ITT)人群的無進展生存期(PFS)。

經過近3年的多中心雙盲、安慰劑對照、隨機的III期研究,HARMONi-A研究呈現出令業界驚喜的結果。

延長無進展生存期,疾病進展或死亡風險降低54%

截至2023年3月10日,中位隨訪時間為7.89個月,期中分析結果顯示,依沃西單抗聯合方案相比化療可顯著延長患者無進展生存期(PFS)(7.06個月vs 4.8個月,HR=0.46,95% CI 0.34~0.62,P<0.001),降低疾病進展或死亡風險達54%。

依沃西單抗聯合化療在3個月(94.7%對69.7%)、6個月(55.4%對33.1%)和9個月(37.9%對18.3%)的無進展生存期率均高于單獨化療。

亞組分析顯示,幾乎所有預設亞組都觀察到與總人群一致的無進展生存期獲益,并具有顯著統計學意義。在接受第三代EGFR-TKI治療失敗(HR 0.48, 95% CI 0.35-0.66)、基線有腦轉移(HR 0.40, 95% CI 0.22-0.73)、EGFR突變為19號外顯子缺失(HR 0.48, 95% CI 0.32-0.73)以及T790M突變陽性(HR 0.22, 95% CI 0.09-0.54)的患者亞組中,依沃西單抗聯合方案均顯示出無進展生存期獲益優勢。

意向治療人群(ITT)的無進展生存期

腦轉移患者的無進展生存期

不伴有腦轉移患者的無進展生存期

HARMONi-A方案的獲益優勢

緩解率更高,長期獲益勢明顯

依沃西單抗聯合化療對比化療組的客觀緩解率(ORR)為50.6%(95% CI 42.6-58.6)和35.4%(95% CI 28.0-43.3)。截至2023年12月,中位隨訪時間為17.6個月,依沃西聯合方案中位總生存期為17.1個月,對照組中位生存期為14.5個月,降低死亡風險20%(HR 0.8,95% CI: 0.59 ~1.08)。敏感性分析顯示,依沃西單抗聯合方案組觀察到生存期有明顯延長趨勢,降低死亡風險23%(HR 0.77,95% CI: 0.56 ~1.07 )。

OS生存曲線圖

研究結果表明,HARMONi-A方案整體安全可控,兩組間常見不良反應發生率無明顯差異。兩組的治療期間出現的不良反應(TEAE)發生率分別為61.5%和49.1%,其中最常見的為化療相關不良事件。≥3級免疫相關不良事件(irAE)發生率分別為6.2%和2.5%;≥3級VEGF相關不良事件發生率為3.1%和2.5%。

論文鏈接:https://pubmed.ncbi.nlm.nih.gov/38820549/

温州百家乐官网的玩法技巧和规则 | 百家乐官网赌场群| 模拟百家乐官网下| 元游棋牌官网| 百家乐闲单开多少| 鸡西市| 葡京百家乐的玩法技巧和规则| 利高百家乐官网游戏| 皇冠百家乐客户端皇冠| 百家乐官网3宜3忌| E乐博百家乐娱乐城| 免费百家乐官网在线| 威尼斯人娱乐城位置| 凱旋门百家乐官网的玩法技巧和规则 | 怎样打百家乐的玩法技巧和规则| 棋牌评测网站| 百家乐官网手机壳| 至尊百家乐官网规则| 玩百家乐保时捷娱乐城| 滦平县| 全讯网程序| 百家乐巴厘岛平台| 澳门百家乐官网鸿运| 六合彩网| 基础百家乐的玩法技巧和规则 | 百家乐平7s88| 玩百家乐官网输澳门百家乐官网现场 | 威尼斯人| 百家乐筹码真伪| 怎么看百家乐官网路单| 皇冠网h| 威尼斯人娱乐场xpjgw5xsjgw| 成都百家乐官网的玩法技巧和规则 | 网上百家乐官网导航| 大发888真人游戏| 金博士百家乐娱乐城 | 德州扑克术语| 百家乐官网免费改| 百家乐官网娱乐网会员注册 | 现金百家乐赌法| 德晋百家乐官网的玩法技巧和规则 |