中大新聞網訊(通訊員呂娟容)在全球范圍內,生態系統功能受到反復干旱和生物多樣性下降的威脅,但對多樣性-生產力關系的干旱依賴性仍知之甚少。植物多樣性和氣候變化是初級生產力和養分循環的關鍵驅動力。近年來,植物多樣性喪失與氣候變化相關的干旱之間的相互作用日益受到關注,有研究發現,由于多樣性喪失而導致的生態系統生產力下降可能會因干旱事件而加劇。更好地理解多樣性-生產力關系和干旱壓力之間聯系的內在機制,對于氣候緩解工作和實施有效的基于自然的氣候解決方案至關重要。
中山大學有害生物控制與資源利用國家重點實驗室儲誠進教授團隊設計了模擬干旱和模式棄耕田群落(360個中型實驗生態系/植物群落)的兩階段實驗,以研究在隨后的干旱下,降雨的慢性減少(壓力干旱)是否以及如何改變土壤遺留效應和植物多樣性-生產力關系。在第一階段,在環境或干旱條件下,在均質土壤中種植了120個具有五個物種豐富度水平的模式植物群落,以生成“條件”土壤樣本。在第二階段,為新建立的植物群落提供了土壤接種物,無論是否有之前的干旱暴露,并經受干旱或環境澆水條件(圖1)。具體而言,研究假設(i)干旱和植物物種豐富度共同影響土壤微生物群落,(ii)干旱土壤遺留效應影響生物多樣性效應對植物生產力的影響,以及(iii)隨后的干旱改變了干旱土壤遺留效應對多樣性-生產力關系的影響。

圖1. 實驗設計的示意圖
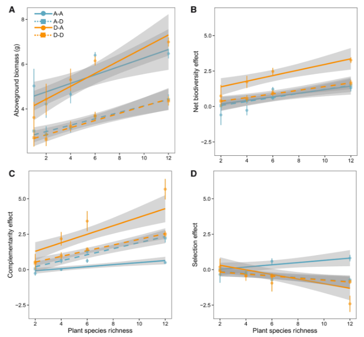
研究發現(圖2-3):(i)干旱降低了細菌和真菌的豐富度,并改變了植物物種豐富度和微生物群之間的關系;(ii)干旱土壤遺留效應增加了生物多樣性凈效應,但生物多樣性凈效應對植物物種豐富度的響應不受影響;(iii)植物物種豐富度和互補性/選擇效應之間的聯系因過去和隨后的干旱而不同。本研究結果為在不斷變化的環境中生物多樣性與生產力的關系提供了機制上的見解,并對氣候變化下生態系統功能的穩定性產生了影響。

圖2. 第一階段土壤微生物群落

圖3. 第二階段的地上生物量和生物多樣性效應
研究成果以“Drought soil legacy alters drivers of plant diversity-productivity relationships in oldfield systems”為題于2022年5月4日發表在期刊Science Advances。