生物多樣性緯度梯度格局及其形成機制一直是生物地理學和宏觀生態學的核心科學問題之一。樹木β多樣性描述了樹木群落間的物種組成差異,聯系著局域尺度的α多樣性和區域尺度的γ多樣性,能反映樹木群落構建和多樣性維持的潛在機制。因此,樹木β多樣性緯度梯度格局研究受到廣泛關注。然而,前人對樹木β多樣性緯度梯度格局的研究往往只關注氣候、地形等環境因素的影響,忽略了生物因素的重要作用。作為影響樹木存活和生長的最重要生物因子之一,不同類型的菌根真菌能與不同樹木共生,形成不同類型的菌根樹種。不同類型的菌根樹種受到的植物-土壤反饋作用以及對氣候等環境因素的適應能力不同,因此,對樹木多樣性的形成與維持具有不同的影響。該研究探討了不同類型的菌根樹種如何影響全球樹木β多樣性緯度格局。
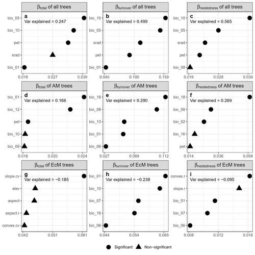
我校生命科學學院儲誠進教授團隊收集了全球范圍內45個森林大樣地(主要來自ForestGEO和CForBio)共3840種、2804270株樹木的調查數據。在此基礎上,把所有樹木劃分為叢枝菌根樹種(Arbuscular mycorrhizal trees,AM trees)、外生菌根樹種(Ectomycorrhizal trees,EcM trees)以及其他樹種,計算樹木的β多樣性及其組分,通過隨機抽樣的方式排除取樣效應的影響,通過β回歸、方差分解以及隨機森林等手段探討了不同類型的菌根樹種如何影響全球樹木β多樣性緯度格局以及環境因子如何產生作用。結果發現,叢枝菌根樹種的β多樣性緯度格局與所有樹木的β多樣性緯度格局高度一致,而外生菌根樹種的β多樣性緯度格局不顯著或偏離所有樹木的β多樣性緯度格局較多,表明樹木β多樣性的緯度格局主要由叢枝菌根樹種決定,外生菌根樹種影響微弱(圖1)。環境因素對樹木β多樣性的影響主要是通過影響叢枝菌根樹種來產生的(圖2)。

圖1. 樹木β多樣性隨緯度的變化格局

圖2. 20 m × 20 m尺度下環境因子對樹木β多樣性的影響
該研究結果表明,樹木β多樣性緯度格局以及環境因素的影響均高度依賴于菌根樹種類型。其中,叢枝菌根樹種起主導作用,強調了叢枝菌根樹種在全球樹木多樣性維持和保護中的重要地位。該研究以“Arbuscular mycorrhizal trees influence the latitudinal beta-diversity gradient of tree communities in forests worldwide”為題發表在Nature Communications上。儲誠進教授團隊博士后鐘泳林為該論文的第一作者,儲誠進教授為通訊作者,中山大學為第一完成單位。該研究得到國家自然科學基金委 “杰青”項目(31925027)等資助。