AG百家乐大转轮-AG百家乐导航_怎么看百家乐走势_全讯网官网 (中国)·官方网站

科研新聞

首頁 > 科研新聞 > 正文

化學學院汪君教授團隊:手性橋環環戊二烯銠絡合物的合成及其在不對稱碳氫鍵活化中的應用

稿件來源:化學學院 發布日期:2020-11-09 閱讀量:

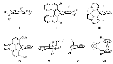
開發新的手性配體和催化劑是不對稱催化領域永恒的課題。眾所周知,手性環戊二烯 (Cp) 配體在過渡金屬催化的不對稱碳氫鍵活化反應研究中占據著重要地位。如圖1所示,經科學家的不懈努力,目前已成功開發出幾類手性Cp配體。然而,隨著不對稱碳氫活化反應研究的蓬勃發展,顯然這有限的幾種Cp配體很難滿足科學家們豐富的科研需求。

圖1 應用于不對稱碳氫活化的幾種手性Cp配體

我校化學學院汪君教授自獨立開展研究工作以來,一直致力于不對稱惰性碳氫鍵活化反應研究。近年來,利用手性聯萘Cp配體II和手性螺環配體III實現了一系列不對稱碳氫鍵活化反應(Angew. Chem. Int. Ed. 2019, 58, 6732;Angew. Chem. Int. Ed. 2018, 57, 4048;Org. Lett. 2020, 22, 3586;Org. Lett. 2020, 22, 3219)。另外,他們報道了一種基于手性二茂鐵骨架的Cp配體VII,并將其應用于催化不對稱C?H 鍵活化反應中(Chem.—Eur. J. 2020, doi: 10.1002/chem.202001814)。基于以上研究工作基礎,近日,汪君課題組發布了一類手性[2.2.2]橋環環戊二烯銠(CpRh)催化劑,并將其成功應用于不對稱碳氫活化反應,以高對映選擇性合成了多種手性氫化菲啶酮類化合物 (圖2-3)。該成果是首例將手性橋環CpRh絡合物應用于不對稱碳氫活化反應的報道,同時也為不對稱碳氫活化提供了新的催化劑選擇。

手性[2.2.2]橋環Cp配體最早由Halterman和Vollhardt于1987年報道,但遺憾的是,該類Cp配體一直都沒有引起人們的關注,其在不對稱催化反應中的應用也基本是一片空白。近日,汪君課題組通過參考并優化Halterman的合成方法,從1,4二烷基取代苯出發,經過5步合成了三種光學純的手性Cp配體,并成功制備了相應的手性CpRh(I) 絡合物 (圖2)。其中,環己基取代的絡合物 Rh-1的結構通過單晶X-射線衍射得到確認。有趣的是,當與手性聯萘CpRh和螺環CpRh絡合物的單晶結構進行對比時,發現橋環CpRh的 “side wall”——環己基在豎直方向更加伸展,而在水平方向較為緊湊。另外,單晶數據還表明該催化劑的“side wall”更靠近中心金屬。催化劑的這些結構特點預示著其可能具有獨特的催化性能。

圖2手性橋環CpRh(I)絡合物的合成及其單晶結構

之前汪君課題組曾發表過一例手性螺環CpRh催化的N-甲氧基苯甲酰胺與醌的不對稱C?H鍵活化反應。盡管他們對該反應開展了細致的條件優化,但終未能獲得理想的對映選擇性,對于標準反應只得到85?,而對于其它大多數底物也只能獲得小于90?(Org. Lett. 2020, 22, 3219)。可喜的是,當使用手性橋環CpRh催化劑Rh-1時,可以得到優異的對映選擇性(圖3),體現出該類橋環Cp催化劑在不對稱碳氫鍵活化中具有較大的應用潛力。

圖3手性橋環CpRh催化劑在不對稱碳氫鍵活化中的應用

該成果近期發表在化學Top期刊Angewandte Chemie International Edition。論文第一作者是中山大學化學學院2016級博士生李國柱,通訊作者為中山大學化學學院汪君教授。該研究得到了國家自然科學基金的支持。論文完整信息為:Guozhu Li (李國柱),Xiaoqiang Yan (閆曉強),Jijun Jiang (江繼軍),Hao Liang (梁昊),Chao Zhou (周超),Jun Wang (汪君)*,Chiral Bicyclo[2.2.2]octane-Fused CpRh Complexes: Synthesis and Potential Use in Asymmetric C?H Activation, Angew. Chem. Int. Ed. 2020, doi: 10.1002/anie.202010489。

論文鏈接:https://onlinelibrary.wiley.com/doi/10.1002/anie.202010489

中大新聞
新聞投稿
大西洋百家乐官网的玩法技巧和规则 | 巴里| 百家乐官网赢家| 百家乐博娱乐平台赌百家乐| 棋牌娱乐| 百家乐游戏如何玩| 百家乐官网波音平台路单| 百家乐对冲套红利| 百家乐官网娱乐官方网| 百家乐有赢钱公式吗| 百家乐官网10法则| 网络百家乐公式打法| 百家乐官网棋牌外挂| 百家乐高手打| 有钱人百家乐官网的玩法技巧和规则 | 康定县| 木棉百家乐网络| 百家乐官网的方法和公式| LV百家乐赢钱LV| 百家乐官网视频双扣下载| 威尼斯人娱乐场it| 24山向阴阳图| 百家乐官网公式计算| 百家乐大眼仔小路| 百家乐官网平台开户哪里优惠多| 水果机游戏机遥控器| 优博家百家乐官网娱乐城| 大发888娱乐城qq服务| 百家乐网站那个好| 百家乐官网鞋业| 皇冠网址推介| 百家乐翻天| 百家乐稳赢投注方法| 百家乐官网纯技巧打| 金尊国际娱乐城| 威尼斯人娱乐城筹码| 澳门百家乐搏牌规则| 博E百百家乐官网现金网| 大发888下载 df888gfxzylc8 | 贡觉县| 永利博百家乐的玩法技巧和规则|