AG百家乐大转轮-AG百家乐导航_怎么看百家乐走势_全讯网官网 (中国)·官方网站

科研新聞

首頁 > 科研新聞 > 正文

高維、高頻金融數據的因子建模與預測推斷研究取得新進展

稿件來源:嶺南學院 編輯:孫琛、王冬梅 審核:孫耀斌 發布日期:2023-09-29 閱讀量:

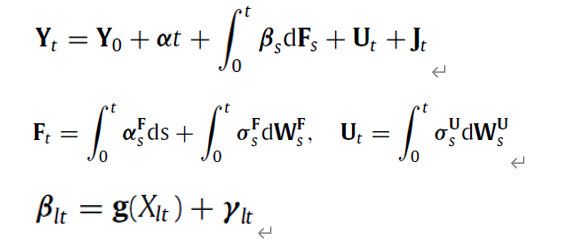
中大新聞網訊(通訊員程明勉)隨著大數據技術與應用的蓬勃發展,利用高維、高頻的新型結構化數據構建因子模型并進行經濟預測已成為當前經濟學研究的熱點。在標準的因子模型框架下,研究人員通常假設因子載荷(或稱為貝塔β)在較長的時間跨度中保持不變。但近年來越來越多的研究證據表明,因子載荷實際上是時變的。

中山大學嶺南學院程明勉助理教授與美國羅格斯大學(Rutgers University)廖原教授、楊希野副教授合作的論文“Uniform predictive inference for factor models with instrumental and idiosyncratic betas”于2023年1月在計量經濟學領域頂級期刊Journal of Econometrics在線發表。

本文提出了一個允許因子載荷隨特征變量動態變化的隱性因子模型,并利用投影主成分分析方法(Projected principal component analysis,P-PCA)對時變的隱性因子和貝塔β進行估計,從而提高了后續因子增強預測的準確性。同時,本文研究了基于該模型框架下因子預測的一致性統計推斷理論。具體來說,本文的主要內容包括:

(1)在連續時間框架下,構建了具有時變因子載荷的高維隱性因子模型。將因子載荷分解為兩個組成部分:一個是基于可觀測的特征變量的非線性函數,反映平穩的長期動態;另一個是殘差項,捕捉貝塔β的高頻波動。

(2)提出利用投影主成分分析方法(Projected Principal Component Analysis)進行模型估計。此非參方法有效地利用了特征變量信息,能擬合未知且復雜的非線性函數,并抑制了貝塔β中的高頻特異性波動對因子估計的影響。

(3)推導了條件均值預測誤差的各主要成分,分析了特異性貝塔誤差(Idiosyncratic Beta Error)這一新增項如何影響總體的因子預測誤差,并構建了一致有效的預測區間。

(4)通過大量蒙特卡洛模擬實驗以及基于真實數據的實證預測研究比較了傳統PCA和本文應用的P-PCA方法。結果表明后者可以得到更有效、準確的因子估計量,從而提高了預測的準確性。

本文的創新與貢獻主要體現在以下幾個方面:第一,在方法上,擴展了標準的因子模型和因子增強預測的研究框架,提出了基于特征變量驅動的時變因子載荷體系。第二,在理論上,詳細推導了預測誤差的各個主要成分,揭示了時變負載對因子增強預測的影響。第三,在實證上,應用高頻數據證明了P-PCA方法相對于傳統的PCA方法可以得到更穩健、準確的估計與預測值。第四,構建了在各種數據生成過程下均適用的一致性預測區間。

總之,本文為因子模型相關研究的理論創新提供了新的視角與框架,并對高維、高頻特征的新型結構化數據應用提供了新的方法。

論文鏈接:https://www.sciencedirect.com/science/article/pii/S0304407622002123

中大新聞
新聞投稿
皇冠百家乐| 中华百家乐官网的玩法技巧和规则| 鄱阳县| 24山择日财丁贵日| 北京太阳城二手房| 百家乐官网网上投注代理商| 24山向阴阳图| 顶级赌场连环夺宝下载| 百家乐官网998| 百家乐怎么玩请指教| 百家乐官网分析软体| 网上百家乐骗人的吗| 大发888作弊| 百家乐官网轮盘| 博彩百家乐的玩法技巧和规则| 百家乐官网玩法百科| 百家乐h游戏怎么玩| 皇冠备用投注网| 网上百家乐有假的吗| 德州扑克底牌| 做生意的好风水| 易博全讯网| 百家乐网上投注系统| 玩机器百家乐官网心得| 百家乐的最佳玩| 免费百家乐官网规则| 百家乐免费赌博软件| 百家乐官网大小是什么| 明珠百家乐的玩法技巧和规则 | 百家乐官网博彩博彩网| 百家乐必赢外挂软件| 金沙百家乐官网现金网| 网络百家乐电脑| 百家乐官网平注常赢打法| 大发888客户端软件| 澳门百家乐官网官网网站| 通吃98| 百家乐十赌九诈| 澳门百家乐官网规例| 舟山星空棋牌下载| 百家乐庄家出千内幕|